Расчет экономической эффективности предлагаемых мероприятий

Эффективность операций с ценными бумагами сопряжена более высокой доходностью и уровнем риска, который зависит от состояния на финансовом рынке. По данным экспертов прогнозируются следующие данные об ожидаемой доходности акций в зависимости от общеэкономической ситуации (табл. ?).

Рассмотрим эффективность вложений в обыкновенные акции ОАО "Газпром", ОАО НК "Лукойл" и ОАО "Сбербанк", учитывая ожидаемую доходность в соответствии с состоянием экономики в будущем.

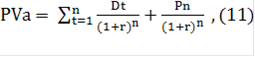
Формула оценки доходность обыкновенных акций:

где PVa - текущая стоимость акции;

Dt - величина дивиденда года t;

r - ожидаемая доходность;

Pn - цена продажи акции;

n - год продажи акции;

t - 1,2,3… n.

Результаты расчетов оформлены в таблице 3.4.

Таблица 3.4.

Рыночная стоимость акций на 01.01.2011

Экономическая ситуация

Вероятность события

Ожидаемые дивиденды на одну акцию

Цена продажи

Доходность в зависимости от состояния экономики

Ожидаемая доходность

2011

2012

2012

ОАО "Газпром"

201,08

Умеренный рост

0,7

4,00

4,55

329,00

27,9%

18,9%

Нулевой рост

0,25

3,85

3,95

205,50

1,1%

Спад

0,05

2,70

2,15

168,00

-16,5%

ОАО НК Лукойл

1733,40

Умеренный рост

0,75

62,0

63,5

2156,2

14,5%

11,0%

Нулевой рост

0,2

59,1

59,2

1843,8

0,65%

Спад

0,1

58,0

57,3

1610,9

-0,06%

Сбербанк

106,80

Умеренный рост

0,6

3,85

4,72

158,9

26,4%

17,7%

Нулевой рост

0,35

3,79

4,19

107,4

5,7%

Спад

0,05

2,5

2,9

97,0

-2,2%

Перейти на страницу:
1 2 3 4 5

Финансовый менеджмент

Финансовый менеджмент - это управление финансами компании, направленное на достижение стратегических и тактических целей компании на рынке.