Основные показатели оценки инвестиционной привлекательности эмитента и их использование для принятия решений об инвестировании

Под ликвидностью ценных бумаг понимается их способность быстро и без особых потерь в стоимости обратиться в деньги. Другими словами, ликвидность акций означает возможность их быстрой реализации (продажи). При этом подразумевается, что цена реализации (продажи) будет выше (или хотя бы равна) цене приобретения.

. Коэффициент ликвидности простых акций в обращении.

К = объем предложения / объем спроса (продаж)

Коэффициент может рассчитываться по результатам отдельных торгов или биржевой сессии в целом. Чем выше значение коэффициента, тем больше объем продаж.

. Коэффициент соотношения котируемых цен предложения и спроса на простые акции в обращении.

К = средний уровень цен предложения / средний уровень цен спроса

Таблица 1 - Показатели для оценки рыночной активности эмитента ценных бумаг

Наименование

Способ расчета

Интерпретация показателя

1. Коэффициент отдачи акционерного капитала (КОак)

где ЧП - чистая прибыль в расчетном периоде; АК - средняя стоимость акционерного (уставного) капитала

Показывает уровень прибыльности акционерного капитала. Показатель индивидуален для каждого акционерного общества. Его исследуют в динамике за ряд лет

2. Балансовая стоимость одной обыкновенной акции (БСоа)

где АК - стоимость акционерного капитала; СПА - стоимость привилегированных акций; КОА - количество обыкновенных акций в обращении

Отражает величину акционерного капитала, приходящегося на одну обыкновенную акцию

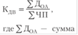
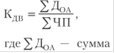
3. Коэффициент дивидендных выплат (Кдв)

где - сумма дивидендов, выплаченных обществом в расчетном периоде по обыкновенным акциям; - сумма чистой прибыли общества в расчетном периоде

Характеризует доли выплаченных дивидендов по обыкновенным акциям в объеме чистой прибыли. Параметр анализируют за ряд периодов (кварталов, лет)

4. Коэффициент обеспеченности акционерного капитала чистыми активами общества (КОЧА)

где АК - акционерный (уставный) капитал; ЧА - чистые активы общества на конец расчетного периода

Показывает долю акционерного капитала в чистых активах общества на определенную дату. Чем выше коэффициент, тем больше его обеспеченность чистыми активами

5. Коэффициент покрытия дивидендов по привилегированным акциям (КПДПА)

где ЧП - чистая прибыль; ДПА - сумма дивидендов, предусмотренных к выплате по привилегированным акциям в отчетном периоде

Позволяет оценить, в какой мере чистая прибыль обеспечивает выплату дивидендов по привилегированным акциям

6. Дивидендная норма доходности (ДНД)

/ (Номинал одной обыкновенной акции), где - сумма дивиденда, приходящегося на одну обыкновенную акцию

Характеризует текущую норму доходности одной обыкновенной акции

7. Текущая норма доходности (ТНД)

на одну обыкновенную акцию) / (Цена приобретения одной акции)

Выражает текущую норму доходности одной обыкновенной акции

8. Коэффициент чистой прибыли на одну обыкновенную акцию (КЧПоа)

/ (Количество обыкновенных акций, находящихся в обращении в расчетном периоде)

Характеризуют сумму чистой прибыли, приходящейся на одну обыкновенную акцию

9. Коэффициент дивидендных выплат на одну обыкновенную акцию (КДВОА)

= (Сумма дивидендов к выплате) / (Количество обыкновенных акций, находящихся в обращении в расчетном периоде)

Показывает сумму дивидендов к выплате, приходящуюся на одну обыкновенную акцию

Перейти на страницу:
3 4 5 6 7 8 9 10

Финансовый менеджмент

Финансовый менеджмент - это управление финансами компании, направленное на достижение стратегических и тактических целей компании на рынке.