Основные показатели оценки инвестиционной привлекательности эмитента и их использование для принятия решений об инвестировании

Показатели внутрифирменной эффективности / Показатели прибыли, рассчитываемые через рыночные оценки / Показатели результативности работы фирмы.

В международной практике наиболее часто для оценки эффективности финансово-хозяйственной деятельности компаний используются показатели EVA и EBITDA.

Экономическая добавленная стоимость (EVA) - это финансовый показатель, показывающий фактическую экономическую прибыль организации. Концепция управления, основанная на определении экономической добавленной стоимости, позволяет выяснить, достаточно ли зарабатывает компания по сравнению с альтернативными вложениями. EBITDA - аналитический показатель, равный объему прибыли до вычета расходов по процентам, уплаты налогов и амортизационных отчислений. Показатель рассчитывается по данным финансовой отчетности (составленной по стандартам ГААП, МСФО) и служит для оценки того, насколько прибыльна основная деятельность компании. EBITDA используется при проведении сравнения с отраслевыми аналогами, позволяет определить эффективность деятельности компании независимо от ее задолженности перед различными кредиторами и государством, а также от метода начисления амортизации. На основании отчетности по РСБУ показатель рассчитать сложно, поскольку в ней не отражаются адекватно нужные данные.

В связи с тем, что показатель EBITDA, не учитывает амортизацию, по утверждению его сторонников, он более реально отражает прибыльность компании (по сравнению с EBIT), ввиду существующей возможности применения различных методов начисления амортизации в бухгалтерском учете. Для использования показателя EBITDA в методике оценки инвестиционной привлекательности целесообразнее представить его в относительном выражении в процентах к выручке, в виде коэффициента рентабельности по EBITDA:

К Р. EBITDA = EBITDA / Выручка от реализации продукции

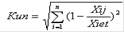
На основе этих показателей представляется возможным расчет итогового (интегрального) показателя оценки инвестиционной привлекательности компании. Мы предлагаем использовать для его расчета метод расстояний и, в соответствии с этим, следующую формулу:

где Кип - интегральный показатель инвестиционной привлекательности компании-эмитента ценных бумаг;- количество финансовых коэффициентов, участвующих в расчете;ij - значение финансового коэффициента i у организации j;iet - эталонное значение финансового коэффициента i.

) Во втором случае, при оценке акций, используются показатели рыночной активности, характеризующие стоимость и степень ликвидности акций, на которые, в свою очередь, оказывает влияние размер дивидендных выплат. Отслеживание приобретенных акций необходимо для правильного выбора времени их продажи в случае потери или, наоборот, для приобретения дополнительного количества акций того же эмитента в случае улучшения их инвестиционных качеств. Являясь акционером, инвестор получает доступ к информации о финансовом положении акционерного предприятия и может рассчитать и проанализировать значения коэффициентов рыночной активности, характеризующих положение акций на рынке ценных бумаг.

Перейти на страницу:
1 2 3 4 5 6 7 8 9

Финансовый менеджмент

Финансовый менеджмент - это управление финансами компании, направленное на достижение стратегических и тактических целей компании на рынке.