Расчет суммы затрат на металл

(1.1)

где - цена приобретения металла за вычетом НДС, руб. / т. (табл.2); -

расход металла за квартал, т (табл.2).

В общем случае цена за вычетом НДС определяется по формуле:

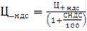
, (1.2.)

где - цена приобретения ресурса, включающая НДС;

СНДС - ставка налога на добавленную стоимость, % (табл.4).

Для данного варианта цена приобретения металла за вычетом НДС составит:

Квартальные затраты на металл:

560 = 2277968 (руб.)

Финансовый менеджмент

Финансовый менеджмент - это управление финансами компании, направленное на достижение стратегических и тактических целей компании на рынке.