Расчет коммерческой маржи и коэффициента трансформации

Оборот за i-й период (год) определяется на основе формы №2 как сумма всех доходных строк:

строка 010 «Выручка(нетто) от продажи товаров, продукции, работ, услуг(за минусом НДС, акцизов и аналогичных платежей»

+ строка 060 «Проценты к получению»

+ строка 080 «Доходы от участия в других организациях»

+ строка 090 «Прочие операционные доходы»

+ строка 120 «Внереализационные доходы»

=Оi

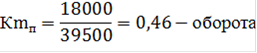
Oп=15450+250+500+1800=18000 тыс.руб.

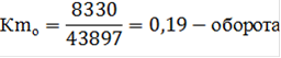
Oо=6880+350+300+800=8330 тыс.руб.

Коммерческая моржа за i-ый период, %:

Коэффициент трансформации за i-ый период, оборотов:

Экономическую рентабельность можно рассчитать так:

ЭРп=43,7*0,46=20%

ЭРо=37*0,19=7%

Абсолютные изменения коммерческой маржи и коэффициента трансформации:

оборота

Вывод: за анализируемый период рентабельность продаж уменьшилась на 6,7% за счет менее эффективного использования каждого рубля в обороте; значение коэффициента трансформации уменьшилось на 0,27 оборота, таким образом, замедлив оборачиваемость каждого рубля активов.

Финансовый менеджмент

Финансовый менеджмент - это управление финансами компании, направленное на достижение стратегических и тактических целей компании на рынке.